
▲慢慢瘦,才會快 : 減重遇到停滯期,該怎麼辦?(圖/蕭捷健 醫師)
作者:蕭捷健 醫師
人夫JJ門診的朋友A女士,自行採用低碳的方法減重,大約三個月減了快5公斤。接著,體重下降的幅度開始趨緩,眼看距離目標還有另外十公斤,卻再也降下不去了,所以來到診間諮詢。減重最怕遇到停滯期,這會讓你沮喪,受挫甚至懷疑自己,難道我不值得瘦下來嗎?來看看2018年發表在Nature - IJO的一篇研究,到底要怎麼樣才能打破停滯期魔咒呢?
休息是為了走更長的路是真的?
答案很簡單:休息是為了走更長的路。會造成停滯期的主要原因是:基礎代謝率會隨著體重減輕的過程變慢。透過生理學計算,我們知道體重減輕十公斤,會造成每天的基礎代謝減少500卡以上。也就是說,如果妳本來每天攝取1800卡可以達到體重的平衡,現在就只能吃1300卡。如果我們還要減重,難道每天就只能吃一個便當(800卡)嗎?我們來看看2018新出爐的研究告訴我們,要怎麼瘦才能持續持久。

這篇論文是2018年發表在自然雜誌(Nature)旗下的國際肥胖期刊( International Journal of Obesity)。
在這個研究中,我們把受試者隨意分成兩組:
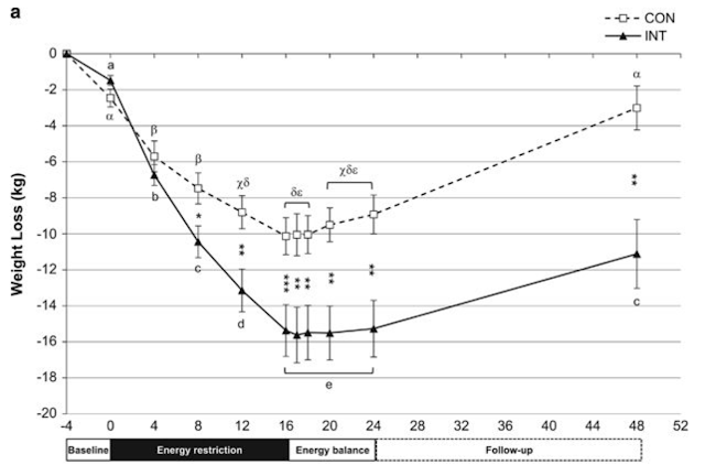
第一組,連續進行四個月(16周)的飲食限制,只能吃每日總消耗熱量(TDEE)的3 分之2,算是有點餓。
第二組,飲食限制兩週,然後休息兩週。這兩週不是無限制的亂吃,而是依照計算出來的每日總消耗熱量(TDEE)進食,總之就是讓你達到熱量平衡 。第二組總共進行了30周,其中有16周進行飲食限制,其他14周都在休息
減重兩周休息兩周,成效比每周持續減重還要好?

我們可以看到下面橫軸代表進行了飲食限制的總週數,垂直軸代表下降的體重。
虛線的部分是連續組(CON),實線部分則是間歇組(INT)。
連續組減了約11公斤左右的體重,而間歇組則減了快16公斤,成效比連續組好了將近1.5倍!
瘦的慢,才能瘦的久?快速減重讓你快速復胖

體重降下來之後,只是成功的一半。這篇研究最棒的地方,就是連實驗後的追蹤的做得很完整。我們可以看到,在停止熱量限制之後,兩組人都有體重回升的情形。
連續組(虛線)很快地復胖,在半年後追蹤體重只比開始時少3公斤
間歇組(實線)的體重卻可以維持在比原來少10公斤以上。
慢慢瘦,才不會瘦到基礎代謝率
我們的身體有一個體重設定點(set point) ,不管是多吃或是少吃,身體都會想辦法維持住這個設定點。當你的體重少了十公斤,這個經歷過演化的身體會認為我們遇到飢荒,過著有一餐沒一餐的生活。這時,身體會主動降低代謝速率以保留能量,這是天擇的結果,讓我們可以活久一點,但這也是減重者的惡夢。
這個研究告訴我們,我們應該要慢慢瘦。降個兩公斤左右,我們可以維持正常飲食和運動一個禮拜,讓身體適應這個變化,然後再減兩公斤,慢慢改變我們身體認知的體重設定點。我們可以再圖表上看到,慢慢瘦下來的人,過了半年體重還是可以維持在比本來少十公斤左右。也就是說,他們的身體保留了更多的肌肉組織。
減重遇到瓶頸,怎麼辦?你可以嘗試以下的方法:
1. 休息1-2個禮拜。計算出自己的每日總消耗熱量;正常飲食,不需要低碳或生酮
2. 足夠的蛋白質攝取,每公斤體重至少1g蛋白
3. 運動,尤其是重量訓練,千萬不要節食還做有氧
4. 休息夠了,再開始一個新的循環:低碳,生酮,油脂斷食都很有效
5. 求好心切的人,可以嘗試 24 - 36小時輕斷食。斷食需要意志力,不像節食會消耗肌肉,斷食反而可以保留肌肉,增加基礎代謝率,最適合剛分手想逼死自己快速減重的人
搜尋附近的診所:體重管理(掛號、領藥超方便)
免費註冊,掛號、領藥超方便!
超過68萬人追蹤,值得信賴的照護線上!

留言版